项目案例

展示我们在光学检测、激光加工、光谱分析等领域的成功实施案例

极简便携拉曼光谱仪
拉曼光谱 · 便携定制

极简便携拉曼光谱仪

光谱仪、激光器、控制器三合一全内置,插电接电脑即可使用。共聚焦光路,分辨率 4~12 cm⁻¹, 动态范围 65000:1,IP56 防护,支持龙门架、便携工具箱等多种部署形态, 可按需扩展 XYZ 扫描、共聚焦荧光及量子点成像,支持 OEM 贴牌定制供应。

4~12 cm⁻¹ 分辨率
65000:1 动态范围
IP56 防尘防水
DZ-4150-ZJ 定制角度旋转支架
定制光学附件

DZ-4150-ZJ 定制角度旋转支架

专为日立 UH4150 分光光度计设计制作的精密角度旋转支架,安装后不影响设备原有光学分辨率参数,为用户提供高精度的角度分辨透射率和反射率测量能力。

0.1° 角度精度
0~70° 旋转范围
定制 精密校准
全自动显微近红外光谱系统
光谱分析

全自动显微近红外光谱系统

全自动显微近红外光谱平台,工作波段 900~2500nm,光谱分辨率 10nm(FWHM), 支持全自动运行、定时/定次数采集及输入输出触发信号,用于显微环境下的反射、透射、吸收测量。

900~2500 波段 (nm)
10 nm 光谱分辨率
>10 μm 显微光斑
中长波傅立叶光谱仪显微扩展模块
光谱分析

中长波傅立叶光谱仪显微扩展模块

FTIR 显微扩展模块,全反射式结构天然消色差,精密光路设计, 同型号光谱仪、相同测试方法和目标:美国显微模块仅 ±0.05 count,我们的显微扩展模块达 ±1.1 count,信号提升 22 倍。

全反射式 消色差结构
±1.1 count 信号强度
22 倍 超进口同型号
激光模式、功率、偏振全自动测试系统
激光检测

激光模式、功率、偏振全自动测试系统

全自动完成连续激光重点参数测试:光路自动对准、功率自动衰减检测、P/S 偏振分光比、 光斑质量、M² 因子、中心波长及半峰宽(FWHM),适配 1mW~10kW / 400~1100nm。

全自动 无需人工干预
1mW~10kW 功率范围
7+ 测试项目
便携式双通道在线膜厚检测仪
光学检测

便携式双通道在线膜厚检测仪

双通道原位在线膜厚检测,250~1100nm 宽波段,1.11nm 分辨率,背照式光谱仪(动态范围 >16000:1), 内置膜厚软件,适用于真空炉、产线等场景,桌面/便携仪器箱两用,可选积分球测试。

双通道 在线检测
250~1100 波段 (nm)
1.11 nm 光谱分辨率
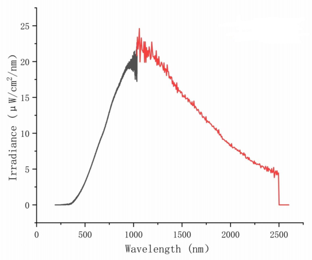
定量式辐照度/发光效率检测系统
光谱分析

定量式辐照度 / 发光效率检测系统

光谱辐照度定量检测平台,220~2500nm 超宽波段,双光谱仪架构(UV-Vis 1nm / NIR 10.8nm), 100mm 积分球可打开放置 LED 灯珠,亦可外部导入光源,适用于辐照度、发光效率、色温等参数定量分析。

220~2500 波段 (nm)
1 / 10.8 nm 光谱分辨率
100 mm 积分球

有类似需求?

联系我们获取专业的光学解决方案